[斜率优化][DP]序列分割
序列分割
Time Limit: 40 Sec Memory Limit: 128 MB
Description
小H最近迷上了一个分隔序列的游戏。在这个游戏里,小H需要将一个长度为n的非负整数序列分割成k+1个非空的子序列。为了得到k+1个子序列,小H需要重复k次以下的步骤:
1.小H首先选择一个长度超过1的序列(一开始小H只有一个长度为n的序列——也就是一开始得到的整个序列);
2.选择一个位置,并通过这个位置将这个序列分割成连续的两个非空的新序列。
每次进行上述步骤之后,小H将会得到一定的分数。这个分数为两个新序列中元素和的乘积。小H希望选择一种最佳的分割方式,使得k轮之后,小H的总得分最大。
Input
输入第一行包含两个整数n,k(k+1≤n)。
第二行包含n个非负整数a1,a2,…,an(0≤ai≤10^4),表示一开始小H得到的序列。
Output
输出第一行包含一个整数,为小H可以得到的最大分数。
Sample Input
7 3
4 1 3 4 0 2 3
Sample Output
108
在样例中,小H可以通过如下3轮操作得到108分:
1.开始小H有一个序列(4,1,3,4,0,2,3)。
小H选择在第1个数之后的位置将序列分成两部分,并得到4×(1+3+4+0+2+3)=52分。
2.这一轮开始时小H有两个序列:(4),(1,3,4,0,2,3)。
小H选择在第3个数字之后的位置将第二个序列分成两部分,并得到(1+3)×(4+0+2+3)=36分。
3.这一轮开始时小H有三个序列:(4),(1,3),(4,0,2,3)。
小H选择在第5个数字之后的位置将第三个序列分成两部分,并得到(4+0)×(2+3)=20分。
经过上述三轮操作,小H将会得到四个子序列:(4),(1,3),(4,0),(2,3)并总共得到52+36+20=108分。
HINT
2≤n≤100000 , 1≤k≤min(n -1,200)。
Main idea
将一个序列分成k段,定义权值和为两两段的累加和的乘积,求出最大权值和。
Source
首先发现n<=10^5,k<=200,我们先想这应该是一道DP,然后发现了原题中的操作(每次分为两段然后再分)经过分配是可以转化为题意这样的,这样的话答案就与分的顺序无关了。
一开始我想到了一个O(n^3*k)的做法,每次分割出i~j段,然后发现由于与顺序无关这个性质,可以转化成每次分割第i个位置, 那么我们得到了状态:f[a][i]表示分割第a次,第a次在第i个位置分的答案。
然后立马想到了转移方程:f[a][i]=max(f[a][i],f[a-1][j]+s[j]*(s[i]-s[j])) (其中s[i]表示1~i的和),这样的话效率是O(n^2*k),然后我们考虑如何优化。大胆猜测可以使用斜率优化。
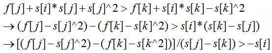
首先假定k<j,且j的决策更优,那么使得条件成立的式子(以下f[j]表示f[a-1][j]):
令x[i]表示f[a-1][i]-s[i]*s[i],y[i]表示s[i],该式子即可表示为:(x[j]-x[k]) / (y[j]-y[k]) > -s[i]。
然后斜率优化维护一下上凸壳(取max值)即可,效率即为O(n*k)。
注意一下内存限制128MB,所以我们将第一维a滚动即可,由于用的是斜率优化维护凸壳,所以我们一开始需要将a[i]=0的去掉否则答案会偏小。
PS:
总结一下斜率优化推式子的精髓:假定k<j且j的决策更优,然后列出不等式,去掉只与i有关的项(这时候可能存在s[j]*s[i]这种项式),然后将不等式移项,使得不等号右边仅有与s[i]有关的项(即与j,k无关),然后根据最大值或者最小值决定维护上凸壳或下凸壳。
Code
1 |
|

